麻豆视频 - 麻豆视频官网原创在线看

研究进展

    研究进展

    当前您的位置: 主页 > 研究进展 > 正文

    2024年学术进展系列之35:基于IXPE等的观测再论耀变体喷射流内激波辐射的偏振

    日期: 2024-06-07 浏览次数:

    近日,麻豆视频 天体物理林达斌团队在考虑内激波辐射区磁场的各向异性的情况下,基于X射线偏振探测器(IXPE)等偏振探测器的观测结果讨论磁场的各向异性强度的研究论文在The Astrophysical Journal杂志发表。

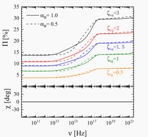
    最近成像X射线偏振探测器(IXPE)对耀变体的观测倾向于支持激波模型X射线辐射,但其观测到的在X射线波段低偏振度(Π ~ 10%)的结果与先前的激波模型理论预期不符。为了使理论预期与观测结果相一致,我们通过考虑激波产生磁场(sgMFs)的各向异性分布,重新研究了内激波辐射情景下的偏振属性。我们引入各向异性权重因子ωsg sinθζ sg 来描述sgMFs的各向异性,得到了不同各向异性指数ζ sg下的偏振结果(如图1最后基于X射线的偏振观测结果估计出sgMFs的各项异性指数ζ sg ~1- 1.5(如图2,其中,内激波图景下X射线辐射主要来自激波面附近。除了sgMFs外,由Richhtmyer - Meshkov不稳定性(RMI)形成的较大尺度的径向主导的磁场(rmMFs)被认为很可能存在于耀变体喷流中,因此我们还对rmMFs存在的情况进行了讨论,并同样引入各向异性权重因子ωrm cosθζ rm 描述其更多沿着径向分布的各向异性。我们发现rmMFs很有可能会显著影响低能段的偏振属性(特别在sgMFs衰减速度较快),而对高能段(X射线波段)影响不大如图3

     

    1:激波产生磁场(sgMFs)在不同各向异性指数ζ sg下的偏振结果,上面板是偏振度,下面板是偏振角。


    2:激波产生磁场(sgMFs)在不同各向异性指数ζ sg下的X射线和射电波段的偏振度

     

    3:Richhtmyer - Meshkov不稳定性产生的磁场(rmMFs)在不同各向异性指数ζ rm下的偏振结果。其中上面板是偏振度,下面板是偏振角。

     

    []该工作得到了国家自然科学基金(基金1227300512133003)广西自然科学基金(基金号2018GXNSFFA281010)CSST对重要突发天体事件的响应研究(CMS-CSST-2021-B11)的支持。


    论文标题:Revisiting the Polarization of the Emission of the Internal Shock in the Jet of Blazars

    论文作者:张豪强(硕)、刘宽(博)林达斌(通讯作者)、梁恩维

    Article DOI: 10.3847/1538-4357/ad26f6

     

    联系地址:广西区南宁市大学东路100号

    联系电话:0771-3237386

    邮 编 :530004

    关注我们

    版权所有:麻豆视频 - 麻豆视频官网原创在线看