麻豆视频 - 麻豆视频官网原创在线看

研究进展

    研究进展

    当前您的位置: 主页 > 研究进展 > 正文

    2024年学术进展系列之18:麻豆视频 量子信息团队在量子特洛伊木马攻击理论分析和实验研究方面取得重要进展

    日期: 2024-04-08 浏览次数:

    近期麻豆视频 量子信息团队在量子特洛伊木马攻击理论分析和实验研究方面取得重要进展,研究论文"Security analysis against the Trojan horse attack on practical polarization-encoding quantum key distribution systems""Improved security bounds against the Trojan-Horse attack in decoy-state quantum key distribution""Boosting asymmetric measurement-device-independent quantum key distribution via numerical-analysis technology"分别被《Physical Review A》《Quantum Information Processing》和《Physica Scripta》杂志接收发表。该工作获得广西相对论天体物理重点实验室自主研究课题、国家自然科学基金重点项目、广西自然科学基金项目、北京邮电大学信息光子学与光通信国家重点实验室开放课题等项目资助。

    在量子信息时代,确保通信安全至关重要。量子密钥分发(quantum key distributionQKD)基于量子力学的基本原理,可以在理论上实现无条件的安全通信。然而,由于实际情况和理论的差距,各种与理论不符的现实漏洞,仍然可以威胁量子密钥分发的安全性。其中,量子特洛伊木马攻击(Trojan-horse attackTHA)是最具有威胁的攻击之一,其利用源端漏洞,通过向QKD系统编码端注入强光,然后测量编码端的反射光,以了解到编码信息。

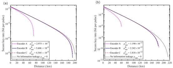
    目前,研究学者们为了满足QKD在稳定性、高速率方面的需求,提出了多种偏振编码光学设计方案,但是人们却容易忽略对系统的安全性进行详细分析。针对这种情况,该工作首先从实验和理论上评估了近些年报导的3种典型的偏振编码方案在THA下的安全性。在实验上(实验装置如图1所示),我们通过搭建测试系统,测试了不同编码装置的系统反射率。在理论上,根据实验结果,我们仔细分析了这三种方案在特洛伊木马攻击下,应用于BB84-QKD或测量设备无关量子密钥分发(measurement-device-independent quantum key distribution, MDI-QKD)系统时的安全密钥率(理论仿真结果如图2所示)。我们的工作对新的偏振编码方案的设计以及现实安全的QKD系统构建提供参考。研究成果发表于《Physical Review A》。


    1 :实验测试编码模块反射率所用时域反射装置示意图。Encoder:被测编码模块。LDE,窃听者Eve的激光器;LDA,编码端Alice的激光器;ATT,光衰减器;FC1FC/APC型光纤连接器;CIR:环形器;SPAD:门控红外单光子雪崩探测器;DG:数字延时发生器;SM fiber:单模光纤。

    2:(a) 三种编码方案应用于BB84-QKD系统的安全密钥率和无木马攻击情况下的安全密钥率。(b) 三种编码方案应用于MDI-QKD系统的安全密钥率和无木马攻击情况下的安全密钥率。


    通过以上研究发现,传统THA分析方法的密钥率相对较低,为了提高传统THA的分析密钥率,我们通过将THA纳入数值安全性分析框架,界定了THA存在时BB84协议和MDI协议的量子密钥分发安全界限,仿真结果显示(如图3所示),相较于传统的分析方法(GLLP,该研究(Numerical)显著提高了存在THA时的BB84MDI-QKD协议的可实现距离和密钥率。研究成果发表于《Quantum Information Processing》。


    3:(aTHA条件下BB84协议的仿真结果。(bTHA条件下MDI协议的仿真结果。THA反射的平均光子数。实线是该研究方法(Numerical的密钥率仿真结果,虚线是传统的分析方法(GLLP)的密钥率仿真结果。


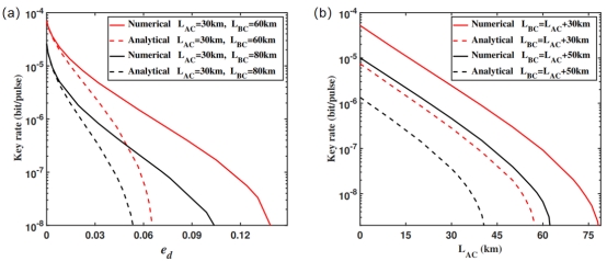
    最后,为了证明数值方法的通用性,针对MDI-QKD协议,在数值分析框架中考虑了非对称情况的MDI-QKD,利用数值技术的优势提高了非对称测量设备无关的实际性能。仿真结果显示(如图4所示),与传统方法(Analytical)相比,该工作的方法(Numerical)对系统错误率容忍度提高了2倍。在MDI-QKD信道高度不对称的情况下,密钥率提高了10倍,传输距离提高了20公里。研究成果发表于《Physica Scripta》。

    4:(a)非对称MDI-QKD系统错误率ed 与密钥率关系的仿真结果;(b系统错误率ed =0.087时,MDI-QKD各种非对称情况的密钥率仿真结果。实线是该研究的方法(Numerical)的密钥率仿真结果,虚线是传统的分析方法Analytical


    1. 论文题目:Security analysis against the Trojan horse attack on practical polarization-encoding quantum key distribution systems

    论文作者:罗婷婷(硕士生),刘嫱(通信作者),孙晓冉(本科生),黄春凤(博士生),陈烨(硕士生),张振荣(通信作者),韦克金(通信作者)

    论文链接://link.aps.org/doi/10.1103/PhysRevA.109.042608

    2. 论文题目:Improved security bounds against the Trojan-Horse attack in decoy-state quantum key distribution

    论文作者:李子健(博士生),郑冰冰(研究生),张呈贤(副教授),张振荣(教授),谢洪波,韦克金*(通信作者)

    论文链接://link.springer.com/article/10.1007/s11128-023-04238-0

    3. 论文题目:Boosting asymmetric measurement-device-independent quantum key distribution via numerical-analysis technology

    论文作者:李子健(博士生),郑冰冰(研究生),张鹤千(研究生),张振荣(教授),韦克金*(通信作者)

    论文链接://iopscience.iop.org/article/10.1088/1402-4896/ad3589/meta


    联系地址:广西区南宁市大学东路100号

    联系电话:0771-3237386

    邮 编 :530004

    关注我们

    版权所有:麻豆视频 - 麻豆视频官网原创在线看