麻豆视频 - 麻豆视频官网原创在线看

研究进展

    研究进展

    当前您的位置: 主页 > 研究进展 > 正文

    2021年研究进展系列之31:麻豆视频 天体物理团队在后牛顿动力学辛算法研究方面取得进展

    日期: 2021-08-06 浏览次数:

    近日,麻豆视频 硕士研究生潘贵璠牵头完成的研究工作以“Extended phase-space symplectic-like integrators for coherent post-Newtonian Euler-Lagrange equations”为题被《Physical Review D接受发表。



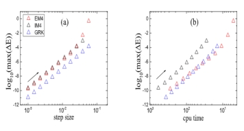
        该研究工作提出新的数值积分方法,有效地应用于后牛顿非线性系统。在黑洞或者中子星等致密星的强引力系统下,后牛顿近似方法可以有效地描述相对论性的二体或者限制三体问题的动力学和引力波。高阶的后牛顿拉格朗日形式运动方程是高度非线性的,同时也伴随着丰富的混沌现象,传统的数值积分器在长期积分中由于舍入误差的累积,导致丧失系统的运动积分稳定性而积分结果不可靠。在前期的研究基础上,作者们提出扩大相空间拉格朗日类辛算法,不仅能够保持拉格朗日系统的总能量等运动积分,而且相较于其他隐式算法具有更好的计算效率。由于算法的可靠性,我们将其应用于后牛顿限制三体和自旋致密双星不可积系统,并且预言了系统的混沌关于一些参数下的分布情况。

        论文作者:潘贵璠(硕士生),伍歆(通讯作者),梁恩维。


     

     





    联系地址:广西区南宁市大学东路100号

    联系电话:0771-3237386

    邮 编 :530004

    关注我们

    版权所有:麻豆视频 - 麻豆视频官网原创在线看